“…it is not the big events that hurt the most but rather the smallest questionable shift in tone at the end of a spoken word that can plow most deeply into the heart.”
― Shopgirl
“A person hears only what they understand.”
―
You can feel the creep of summer ending and the school year beginning its approach. Kids are getting those last days at the pool in. School parking lots are starting to see increased traffic as teachers unpack and begin the process of getting their rooms ready. Parents are starting to populate the malls and department stores, securing clothes and supplies for the coming year.
Next week teachers will return to school. With students following the week after. The pending start of school brings a little more…complexity…to the politics and policies of education. As such, things aren’t always what the seem. Hopefully, we’ll bring a little clarity in a few areas today. Or at the least spark some better conversations.
TENNESSEAN PR
Yesterday, the Tennessean got around to publishing a piece on MNPS’s interim-Director Dr. Adrienne Battle. The Tennessean has recently designated certain articles “subscriber-only”, so if you can’t access the above link, I apologize.
I find it curious that articles about schools and who the paper endorses for mayor are considered subscriber-only, but articles about what to buy during Tennessee’s tax-free weekend and what to do at the Williamson County Fair are open to all. The Tennessean claims the change will allow them to better traffic in “journalism of hope”… yea, I know…it’s all about the benjamins. I surmise that “journalism of hope” translates to they hope you’ll spend more with advertisers so they won’t cut their advertising budget. But I digress.
The Battle piece by journalist Jason Gonzalez keeps with the Tennessean’s recent trend of writing PR pieces for Nashville’s ruling class. And as such, it’s a fine piece that should put the start of school in a positive place. However, there are few passages that require a little clarification.
Gonzalez writes, “The school board tasked her with the district’s top job for the next two years as members decide how to proceed on finding a permanent director.” Many have interpreted this to mean that Battle has a 2-year contract and that after that time period, the school board may or may not choose to start a search for a director. That’s not quite accurate.
Her contract is 2 years in duration, but the board may start a search at any time. She is welcome to apply for the job as permanent director at that time, but if the board chooses a different candidate than they are only required to give her 30 days notice. That may seem like a small distinction, but I think its an extremely important one.
A little later in his article, Gonzalez uses a quote by board vice-chair Christiane Buggs to create one of those if you’re-not-for-then-you’re-against scenarios so often utilized in Nashville politics.
“If she is successful, our kids are successful,” said Christiane Buggs, the school board’s vice chair. “Anyone hoping for the demise of a superintendent literally doesn’t want our students to succeed.”
The reality is a lot more nuanced. I’d think you’d be hard-pressed to find anyone hoping for the “demise” of Battle, but there still remains questions around whether she is the right person for the job. Rightfully so, here hasn’t been any vetting of her qualifications, nor has there been any data produced supporting the moves she’s made.
I believe that it is imperative that we don’t get caught up in pushing personality and lose sight over policies. We can be critical of our spouses because we love them and want them to succeed and not be accused of hoping for their demise, the superintendent job should be perceived no differently.
It is critical that we secure the right person for the job of leading our schools based on policies and practices, not just because they represent something that appeals to our emotions. While leaders often lead through inspiration, style can not trump substance.
Battle has definitely infused a breath of fresh air into MNPS, but the jury is still out if that can be sustained and if her team is capable of creating a culture that produces the kind of results desirable to families and educators. Gonzalez quotes Battle as saying, “”We are not here to tell you what to do, we are here to be thought partners with you.”
That quote needs to be bronzed and hung on the wall of everybody on her leadership team because early reports are that certain members of the new leadership team aren’t living the words she’s speaking,
A superintendent is only as good as the team around them. So while it’s Battle who’s performance will receive the most scrutiny, it’s her team members performance who will most influence what that scrutiny looks like. Most of her team have labored in relative obscurity, taking their cues from others. It’s now their turn to set the cues for others and that’s a whole another animal. Their actions will create a culture that will lead to a rise or continued fall for MNPS.
When a friend is hired for a leadership position despite having failed to complete his most recent assignment, that sets an element of the prevailing culture. When a leadership position is created for a friend who is already benefiting from district perks, and whose leadership style has contributed to the current toxic culture, that sets a precedent. When despite a spring that saw a great deal of labor unrest, the HR department and Communications don’t make it a priority to communicate exactly what teacher compensation looks like, culture is set.
In an effort to shift blame away from whoever is the current superintendent, there are those that argue that MNPS’s culture has been toxic for years. And I would counter-argue that because of that toxicity, Nashville has lost too many quality educators and failed to achieve the levels of success saught.
We can talk policy all day long, but if an organization does not have a culture that fosters collaboration, trust, and accountability – the quality of those policies are meaningless.
I also believe that there is an element throughout the city who wish to push responsibility for hiring a permanent director off until a new board is elected. They claim the current school board is incapable of undertaking such a momentous task. But everybody forgets, a new board may get selected, but the same people – the voters of Nashville – who selected the last several boards will once again choose the members of the next board.
SALARY TALK
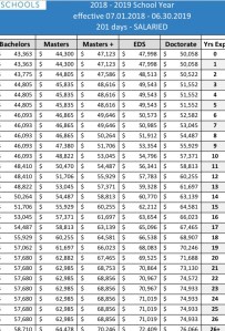
I was going to hold off exploring this subject, but since nobody else is jumping into the fray, I’m going to try now. MNPS recently posted the new salary schedule for 2019 – 2020.
Teachers compared the schedule to last years schedule and made some startling discoveries. First off, the raise would not be as impactful as expected and second, some teacher would actually make less money. Huh? How is that possible? What about that 3% raise?
Here’s where things get tricky. Yes, teachers did get a 3% raise but step raises were not included despite the argument being
made that they were critical.
Step raises are the raises that are supposed to take effect as teacher’s meet certain employment milestones. Steps are supposed to align with years of service, but when step raises are frozen, teachers remain at their current step despite accruing another year of service. Since it’s been two years since the last step raise was funded, a teacher with 11 years of experience may only be at step 9.
As a result of actions taken by the state government several years ago, the steps have become more and more compressed salary-wise. For example, teachers with a bachelors degree will make the same amount from year 7 to 11 under the new schedule. A schedule frozen for two years means that teachers will have to serve 6 years instead of 4 to see their expected pay increase.
Now you take a step 11 teacher with a master’s degree. If no raises had been approved and we adhered to the last year’s pay schedule they would expect to make $50, 470. If just step raises had passed, the teacher would become a step 12 and would expect to make $51,706. But under the new schedule – with no step and a 3% raise – that same teacher remains at step 11 and will make $50,286. Now I am not sure what math we are using, but with my calculator that’s a pay cut.
It all goes even deeper though. If you refer to the pay schedule from 2012-2013 you’ll see the steady decline in teacher take-home pay. That same teacher at step 11 with a Masters would have earned $51,593 for that school year. This shouldn’t be acceptable and consider it proof that there is no issue more pressing than fixing educator pay for MNPS.
What I’ve laid out is admittedly an oversimplified example and what apparently would happen in a logical world.
Late Friday MNPS Communications sent out a letter that attempted to explain the actual process. Which is different then what I described. I’m still trying to procees it and we’ll take a deeper look come Mpnday.
Dr. Battle and MNEA President Amanda Kail are also working together to put an explanation together so teachers have a better understanding of exactly what’s transpiring.
Last spring teacher Katherine Green – at around the 40-minute mark in the video below – presented a much more in-depth analysis on why the restoration of step-increases is necessary
Make no mistake, teacher issues are student issues.
One further note, despite previous reports that teachers would see the 3% raise reflected in their July 26th paycheck it will actually be the August 9th paycheck. Which upon reflection makes sense because those on the 10-month pay plan would receive their first check for the year at that time.
FEARMONGERING
Over the summer, one of the most persistent rumors has been that Mayor Briley and the Tennessee Department of Education were in talks to have the state take over a portion of MNPS. While I’ve never been able to get any concrete details, the rumors refuse to die. Semi-retired school board member Will Pinkston raised the specter again this week with a tweet in response to the aforementioned Tennessean profile of Dr. Battle.
Curiously, Pinkston’s charge comes the same week that the Tennessee Achievement District – the state’s chief vehicle for takeover actions – is being publically de-fanged. Current State Superintendent Penny Schwinn stepped forward to acknowledge the failure of the state’s turn around the district and gave official notice that no new schools would be joining the ASD this year. Just the opposite, some of its existing members would be exiting this year.
Going forth the ASD is going to look very different.
“Over the next six to eight weeks, we’re going to have some frank and honest conversations about the direction of the ASD,” Schwinn said. “We want to make sure that we’re soliciting feedback from families of students who are currently enrolled at ASD schools, because they are the most important voice.”
Last year the TNDOE piloted a new “partnership zone” with Hamilton County Schools as a means to improve outcomes for severely challenged schools. Results of the experiment are still pending while test scores from the Spring are analyzed, but it’s clear that the state realizes that forcefully taking over schools is not an ingredient in a recipe for success.
It is entirely possible that Mayor Briley, Dr. Battle, and the TNDOE are in preliminary talks about the possibility of creating a “partnership zone” in Nashville. The creation of a “partnership zone” is very different than that of assigning a school to the Achievement School District.
There is no turning over of a school to a charter operator. Teachers are not forced to re-apply. The “partnership zones” work with whole pathways as opposed to individual schools, thus providing a more holistic approach.
Current state law prevents anyone but an elected board to oversee a school district. The board created to oversee the schools in the Hamilton County Partnership Zone serves in a purely advisory capacity. So control of any MNPS school could only transpire if approved by the school board.
Pinkston has long waged war with the powers that be at the state so he is prone to paint any of their actions as being predatory and incompetent. I don’t wholly disagree, but I don’t think you can arbitrarily reject a proposal without hearing the details. Unfortunately, nobody at either the state level or the local level is being particularly forthcoming at this time. Maybe after the city election, more details will emerge.
QUICK HITS
Apparently, I was incorrect when I reported last week that there was no New Teachers Academy this year. Based on pictures viewed via social media, the district did manage to put together a program, though clearly not of the scope and scale of previous years. In looking at the pictures posted though, I have to ask, where are the new teachers of color? I know appearances can be deceptive but it doesn’t look like we’ve hired very many despite a very public initiative.
If you’ll remember, upon appointment as interim-director od schools Dr, Battle went on a listening tour. Well, she took notes and some of those notes produced outcomes. If you’d like to see those notes and outcomes just click on the link, Listen In. I think you’ll like what you see.
Coca-Cola Consolidated along with the Tennessee Titans are producing a Teacher Appreciation event next Saturday that includes a concert at Nissan Stadium with Jake Owen.
Schedule of Events
- 4:30PM- 6:00PM Teacher Appreciation Celebration
- 6:00PM- 8:00PM Tennessee Titans Practice
- 8:00PM- 9:00PM Jake Owen Concert
- 9:15PM- 9:30PM Fireworks
Each teacher can bring 1 guest. Please provide the name of your guest in the order form. Teachers are asked to RSVP by July 29. Very exciting.
One more week to go in the race to be mayor of Nashville and candidate John Cooper has loaned himself another $900k. The Scene’s Stephen Elliot has more details in today’s Pith in the Wind.

That’s it for today. Thank you for your support. Make sure you check out the Dad Gone Wild Facebook page, where we try to accentuate the positive. If you’ve got something you’d like me to highlight, send it on to Norinrad10@yahoo.com. Thanks for your support, and if you feel so inclined, please head over to Patreon and help a brother out. Thanks to this week’s newest donors. Don’t forget to answer this week’s poll questions. Have a great weekend, and we’ll see you on Monday.
Categories: Education
Mnps leadership thinks we are stupid. They have lined their pockets with our measley raise and then denied it to many teachers with their ridiculously complex salary schedule explanation while holding a back to school celebration to give us the necessary supplies to do our jobs? How do doctors get band aids and sutures? Do they wait in line for medical supplies on their day off? Everyone (literally) I know is deciding whether to quit now or at the end of the 9 weeks. You can only be abused for so long. Those of you who think things are so much better with a new leader need to open your eyes and see that absolutely nothing has changed.
I’m one of the teachers who will only receive $56 more this year over last year. Thank you for bringing attention to this issue.